结构与难度1. 题型分布合理:选择题(40分)、多选题(18分)、填空题(15分)、解答题(77分),总分150分,符合高考模式。
2. 知识点覆盖全面:涵盖集合、复数、数列、立体几何、概率统计、解析几何、函数与不等式等核心内容,综合性强。
3. 难度梯度明显:基础题(如集合、复数运算)与中高难度题(如双曲线离心率、递推函数、立体几何截面)结合,区分度较好。
亮点与特色1. 注重逻辑推理:如第4题(空间直线与平面的关系)、第8题(截面面积计算)、第11题(递推函数周期性),需深入分析条件与结论的关系。
2. 贴近实际应用:第17题垃圾分类的概率统计问题,将数学与生活场景结合,体现应用价值。
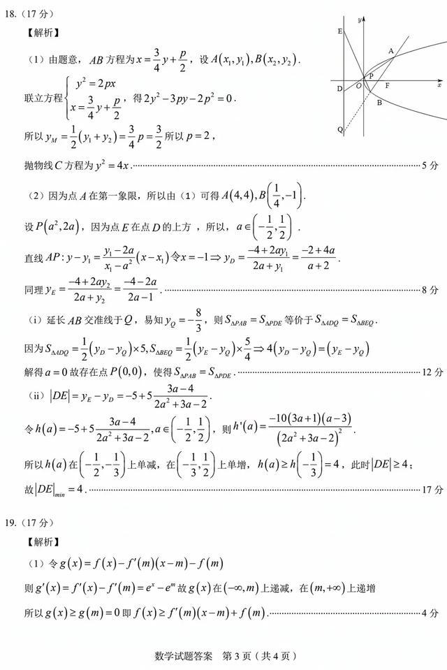
3. 创新性设问:第18题抛物线中的存在性问题与最值探究,第19题函数不等式的多步证明,考查高阶思维能力。
总结试题设计科学,能够有效检测学生的数学素养和综合能力,尤其强调逻辑推理与实际问题解决。适合作为高三模拟训练,但需注意时间把控与中难题的平衡。







