众力资讯网
高三一轮复习教案 2.3 函数的奇偶性
2025-12-01 19:33:14
弄了与数学
教育
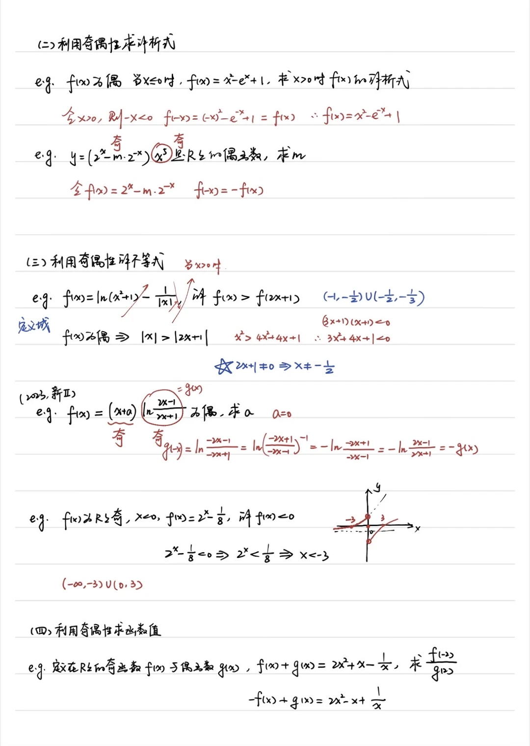
明天正式上课,看到学生的入学考试成绩就知道这个假期他们肯定没有学数学,不该忘的该忘的都忘了![哭惹R][哭惹R][哭惹R] 高考也就200多天了,其实想要逆风翻盘,也就取决于这几个月的时间。 函数的性质还是挺重要的,综合性比较强!奇偶性应该要复习1.5个课时,下学期时间很紧张,都没空评讲作业的感觉,有点慌。
热门分类
推荐
热榜
军事
NBA
体育
社会
明星八卦
娱乐
财经
科技
汽车
历史
国际
游戏
动漫
公益
搞笑
商业
互联网
数码
国际足球
房产
家居
时尚
科学探索
职场
育儿
股票
教育
影视
情感
热点
中国军情
武器
中国南海
中国足球
亚洲杯
科比
综合体育
CBA
投资
楼市
大咖秀
外汇
创业
风口
SUV
豪车
概念车
优惠
新能源
美国
欧洲
朝日韩
俄罗斯
孕期
街拍
恋爱攻略
婚姻
正能量