白大褂朋友已在线
给女生划个健康重点
---
💊 背景知识
激素受体阳性(HR+)、HER2阴性乳腺癌约占70%以上,CDK4/6抑制剂(包括哌柏西利、瑞博西利和阿贝西利,因为是老外的研究,没有包括国产达尔西利)联合芳香化酶抑制剂(AI)已成为这类患者的晚期一线标准治疗方案。尽管临床试验已证实其疗效,但真实世界中的数据更能反映日常实践中的效果。
---
📊 研究概览
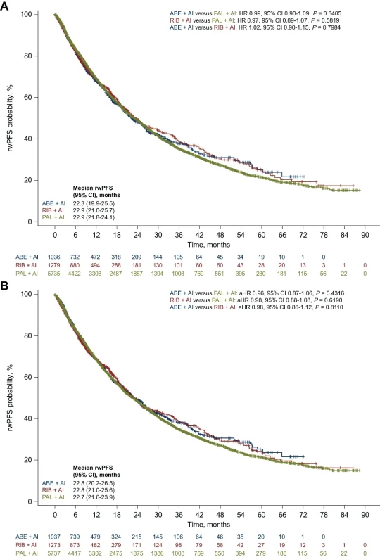
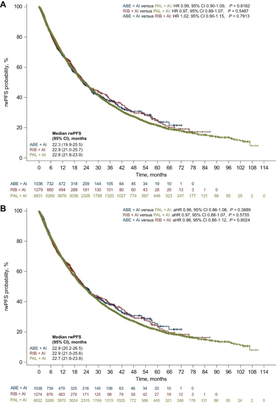
一项发表在《ESMO Open》的大规模真实世界研究(P-VERIFY研究),分析了美国9146例HR+/HER2-转移性乳腺癌患者的数据,比较了三种CDK4/6抑制剂联合AI的疗效。所有患者均接受一线治疗,其中:
· 哌柏西利组:6831例
· 瑞博西利组:1279例
· 阿贝西利组:1036例
研究采用高级统计方法平衡基线特征,确保比较的公平性。
---
📈 疗效数据对比
药物 中位真实世界无进展生存期(rwPFS)
哌柏西利 + AI 22.7个月
瑞博西利 + AI 22.9个月
阿贝西利 + AI 22.9个月
· 关键发现:三种方案的中位rwPFS高度一致(22.7-22.9个月),无统计学差异。
· 亚组分析:在内脏转移、骨转移等高风险亚组中,疗效依然相当。
---
💡 临床意义
1. 等效性证实:三种CDK4/6抑制剂的疗效相似。
2. 个体化选择:医生可根据药物的安全性、可及性、患者偏好及合并症决定。
---
⚠️ 注意事项
· 安全性差异:虽然疗效相似,但不良反应谱不同:
· 血液学毒性(如中性粒细胞减少)常见于所有CDK4/6抑制剂,但程度可能不同。
· 非血液学毒性:阿贝西利更易引起腹泻,瑞博西利需注意QT间期延长。
---
💎 患者建议
1. 咨询医生:根据自身健康状况(如心脏功能、肠道耐受性)选择药物。
2. 关注副作用:及时报告不良反应,便于医生调整剂量或支持治疗。
3. 坚持治疗:CDK4/6抑制剂需长期服用,依从性是保障疗效的关键。
---
🌍 研究局限性
· 回顾性设计可能遗漏未测量的混杂因素。
· 缺乏治疗依从性和剂量调整数据。
---
🔚 总结
这项真实世界研究证实,三种CDK4/6抑制剂联合AI的疗效相当。临床决策应基于药物安全性、可及性及患者个体情况,而非单纯追求疗效差异。
💖 温馨提示:本文仅供参考,具体治疗方案请务必与您的医疗团队共同决策!
---
资料来源:https://www.esmoopen.com/article/S2059-7029(25)01439-5/fulltext
---






