
湖南文理学院也发布了考研复试相关的信息,一起来看看!
考研复试分数线
1.考生必须符合教育部公布的相应门类(学科)复试的最低分数要求(国家“A”类考生分数线),同时符合《湖南文理学院2026年硕士研究生招生简章》的相关规定及要求,并且资格审查合格。部分生源好的专业可根据招生计划和差额复试比例,在国家“A”类考生分数线的基础上自主划定复试分数线。
2.所有学科、专业(领域)根据国家复试分数线、分专业招生计划、生源等情况,实行差额复试,差额比例一般不低于本专业招生规模120%,具体比例由各二级招生单位复试工作领导小组决定。合格生源比例不足时,按实际合格生源数组织复试。
3.复试名单由各二级招生单位根据其复试工作方案和考生的初试成绩确定,报送研究生院审定后,在研究生院网站予以公示。
4.我校今年各专业原则上不进行破格复试。
与此同时,林科大也将各院校的26考研一志愿复试名单进行汇总。
名单共37页,各院校的复试方案也陆续发布,大家可以结合各院校复试方案的内容,以及调剂公告内容进行复试准备、调剂院校选择和规划。

复试时间
我校硕士研究生复试原则上分两批进行:第一志愿复试时间为3月25日-26日,调剂复试时间为4月8日后进行。具体的复试时间、地点、内容、形式等具体安排以研究生院和各二级招生单位官网主页公布的复试方案为准。
复试内容
各二级招生单位要根据学科专业特点和办学特色,精心设计复试内容,确保复试考核科学有效、公平公正。要通过考生大学学习成绩单、毕业论文、科研成果等补充材料,加强对考生思想品德、既往学业、一贯表现、科研能力和综合素质等情况的全面考查。复试内容一般包括笔试、面试、英语听说能力测试等(若为同等学力考生须进行加试),复试满分为100分。
各二级招生单位原则上应采用命制多套试题,随机抽取试题等方式加强复试过程管理,避免重复使用造成泄题。具体安排如下:
1.专业笔试(闭卷考试):主要为专业课笔试考试,试卷满分为100分,占复试比重30%,折算复试考核满分为30分。主要测试本专业(领域)理论知识和应用技能掌握程度,利用所学理论发现、分析和解决问题的能力,对本专业(领域)发展动态的了解,评估在本专业(领域)的发展创新能力。具体复试科目和考试工作由各二级招生单位自行组织。
2.外语听说能力测试:复试考核满分为100分,占复试比重20%,折算复试考核满分为20分。以口语对话形式考查考生外语听说能力。具体以各二级招生单位公布复试方案为准。
3.综合素质测试:复试考核满分为100分,占复试比重50%,折算复试考核满分为50分。主要对考生的思想政治表现、知识结构、综合素质和能力进行考查。具体测试方式由各二级招生单位自定,考生可以提供反映自身能力和水平的相关材料(如获奖证书、公开发表的论文等),复试工作小组须详细记录复试过程。
4.同等学力加试:根据《2026年全国硕士研究生招生工作管理规定》,以同等学力参加复试的考生,在复试中须加试至少两门与报考专业相关的本科主干课程。加试方式为笔试,加试科目不得与初试科目相同。加试科目每科试卷满分100分,加试的成绩可不计入复试成绩,但若有一门不及格(低于60分)将不予录取。加试科目见《湖南文理学院2026年硕士研究生招生简章》。
5.各二级招生单位根据本专业硕士研究生培养目标,可对跨专业学生进行加试,加试方式为笔试,笔试成绩不计入总分。
6.心理测试。考生复试前(具体时间以各二级招生单位复试通知要求为准)进行心理健康测试,心理健康测试结果作为考生心理健康状况评价参考,具体方案另行通知,具体测试操作流程由学校心理健康教育中心统一安排,由各二级招生单位自行组织。
调剂
第一志愿上线生源不足的专业,可以进行调剂。所有考生的调剂都必须通过教育部“全国硕士生招生调剂服务系统”进行。
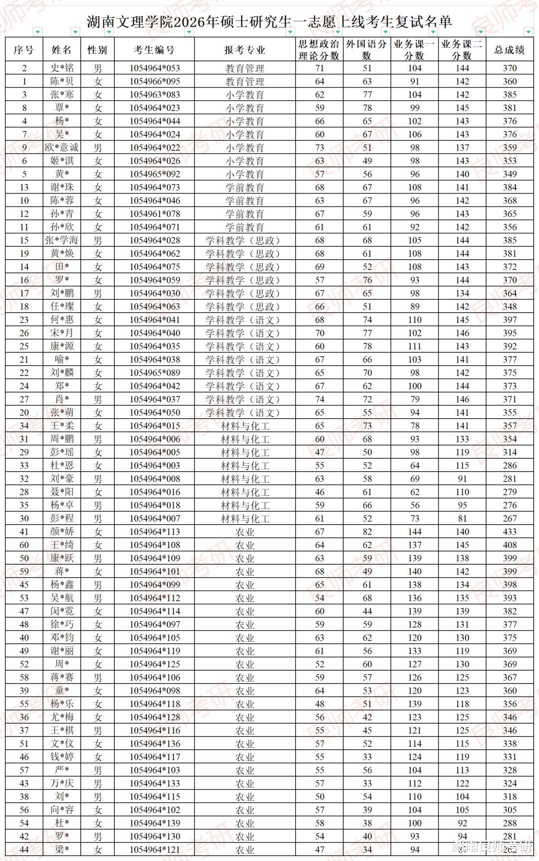
一志愿复试名单
