众力资讯网
弄了与数学的文章
高三一轮复习教案1.5基本不等式的综合应用
2025-12-01 19:33
高三一轮复习教案1.5基本不等式的综合应用
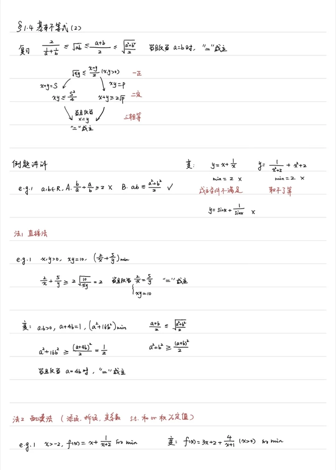
高三复习一轮教案——1.4 基本不等式(2)
2025-12-02 00:18
高三复习一轮教案——1.4 基本不等式(2)
高三复习第一轮教案——1.4 基本不等式(1)
2025-12-01 19:33
高三复习第一轮教案——1.4 基本不等式(1)
高三复习第一轮教案——1.3 等式与不等式性质
2025-12-02 00:18
高三复习第一轮教案——1.3 等式与不等式性质
成都零诊数学试题,新鲜出炉!
2025-07-11 17:20
成都零诊数学试题,新鲜出炉!
培优专题——对数均值不等式&飘带放缩
2025-10-02 12:12
培优专题——对数均值不等式&飘带放缩
民间招生办|考场2小时,小题提速心得
2025-12-02 00:18
民间招生办|考场2小时,小题提速心得
8.1 成对数据的相关关系
2025-12-02 00:18
8.1 成对数据的相关关系
专题——隐函数
2025-12-02 00:18
专题——隐函数
高考周的第一课:7.5 正态分布
2025-12-02 00:18
高考周的第一课:7.5 正态分布
三星堆顶流天团出道图鉴:神明很忙,古人很潮
2025-12-02 00:18
三星堆顶流天团出道图鉴:神明很忙,古人很潮
用两道题讲讲多元递推&递推与递归📝
2025-12-02 00:18
用两道题讲讲多元递推&递推与递归📝
终于开始上新课:二项分布
2025-12-02 00:18
终于开始上新课:二项分布
微专题——知导求原
2025-12-02 00:18
微专题——知导求原
期中复习:最最最基础的导数题目及知识点
2025-12-02 00:18
期中复习:最最最基础的导数题目及知识点
用帕德逼近估值太好用了!让比大小灰飞烟灭
2025-12-02 00:18
用帕德逼近估值太好用了!让比大小灰飞烟灭
概率递推与马尔科夫链专题突破!刷题党必看!
2025-12-02 00:18
概率递推与马尔科夫链专题突破!刷题党必看!
📚二项式定理必考题型!刷完试卷轻松拿捏💯
2025-10-01 02:08
📚二项式定理必考题型!刷完试卷轻松拿捏💯
📐杨辉三角×二项式定理|数学的对称美学
2025-10-03 02:31
📐杨辉三角×二项式定理|数学的对称美学
今天又学到新知识啦!微专题——球盒模型
2025-10-05 20:25
今天又学到新知识啦!微专题——球盒模型
第一页
下一页
作者信息
弄了与数学
感谢大家的关注
分类: 教育
热门分类
推荐
热榜
军事
NBA
体育
社会
明星八卦
娱乐
财经
科技
汽车
历史
国际
游戏
动漫
公益
搞笑
商业
互联网
数码
国际足球
房产
家居
时尚
科学探索
职场
育儿
股票
教育
影视
情感
热点
中国军情
武器
中国南海
中国足球
亚洲杯
科比
综合体育
CBA
投资
楼市
大咖秀
外汇
创业
风口
SUV
豪车
概念车
优惠
新能源
美国
欧洲
朝日韩
俄罗斯
孕期
街拍
恋爱攻略
婚姻
正能量